Copyright 2026 - Civil Engineering KBU

โครงงานวิศวกรรมโยธา




































































































 

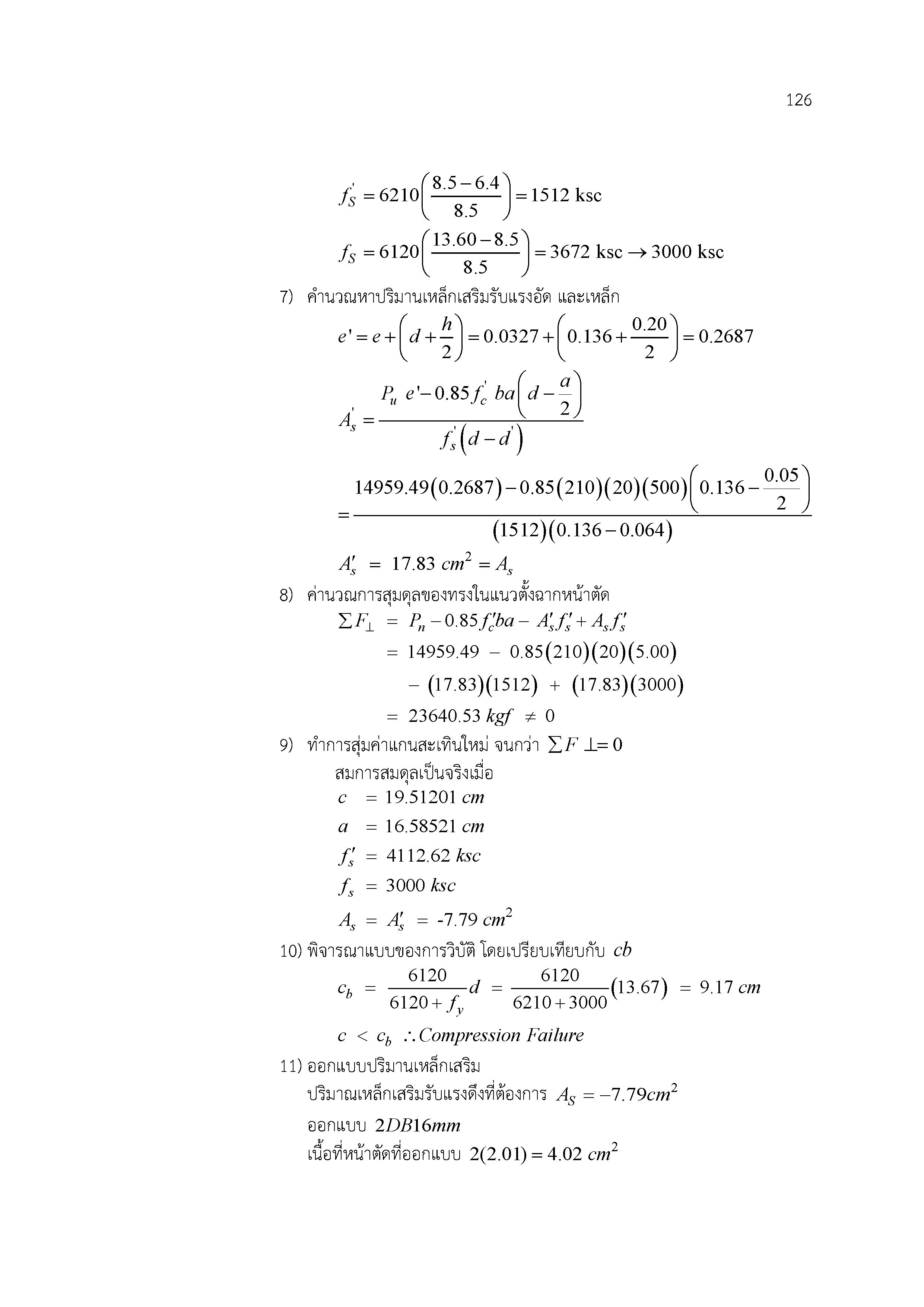
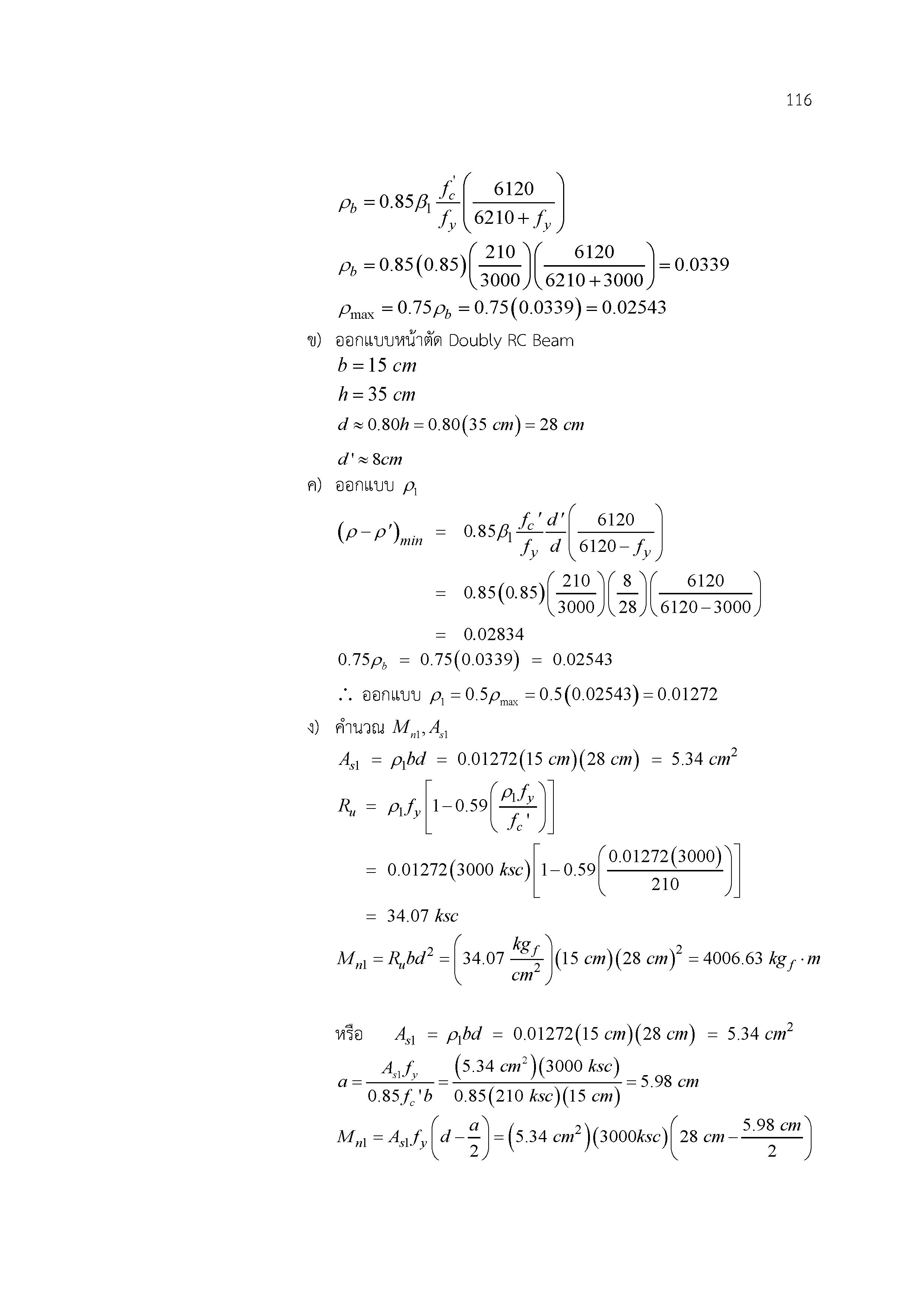
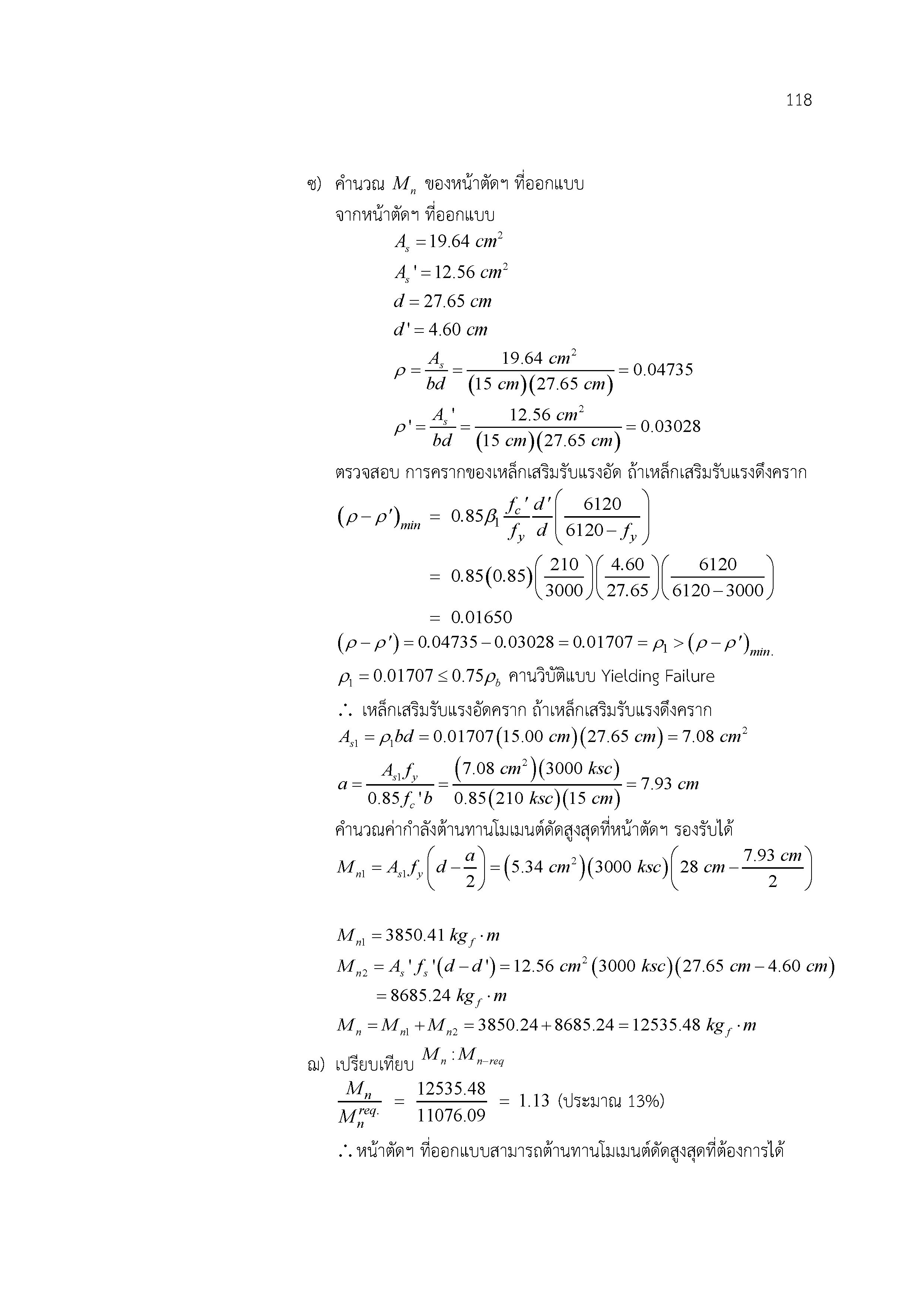
f t g m